https://www.acmicpc.net/problem/18879
좌표평면 없이 푸는 머리좋은 사람들도 있을 것 같음
<문제설명>
n개의 요소가 주어진다. 각각의 요소는 x,y값으로 표현된다. (n<=1e5, |x,y|<=1e9)
xi <= xj && yi<= yj 를 만족하는 i,j 요소를 서로 연결됐다고 볼 때, 컴포넌트의 개수를 구해라
<풀이>
그래프가 완전그래프에 가까울정도로 빽빽해질 여지가 있으므로, 직접 간선을 이을 수 있는 상황이 아니다.
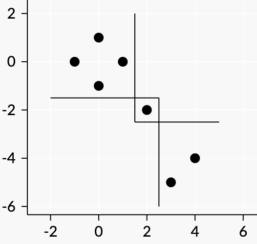
다음과 같은 입력을 좌표평면에 그려보면 아래와 같다.
7
1 0
0 1
-1 0
0 -1
3 -5
4 -4
2 -2

A : min(y1,y2,…,yi)>max(yi+1,yi+2,…,yN)
B : max(x1,x2,…,xi)<min(xi+1,xi+2,…,xN)
A와 B를 동시에 만족하면 i번째 정점은 기존 컴포넌트에 포함된다.
<코드>
const int MAX = 1e5 + 4;
const int INF = 1e9 + 1;
int n;
int x[MAX], y[MAX], id[MAX];
int mnx[MAX], mxy[MAX];
int main() {
FAST; cin >> n;
for (int i = 0; i < n; i++) {
cin >> x[i] >> y[i];
id[i] = i;
}
sort(id, id + n, [](int i1, int i2) {
if (x[i1] == x[i2]) return y[i1] > y[i2];
else return x[i1] < x[i2];
});
mxy[n-1] = y[id[n - 1]];
for (int i = n - 2, cy; i >= 0; i--) {
cy = y[id[i]];
mxy[i] = max(mxy[i + 1], cy);
}
mnx[n - 1] = x[id[n - 1]];
for (int i = n - 2, cx; i >= 0; i--) {
cx = x[id[i]];
mnx[i] = min(mnx[i + 1], cx);
}
int cnt = 0;
int mn = INF, mx = -INF;
for (int i = 0; i < n; i++) {
if (mn > mxy[i] && mx < mnx[i]) cnt++;
mn = min(mn, y[id[i]]);
mx = max(mx, x[id[i]]);
}
cout << cnt << '\n';
}
<생각>
x기준 정렬했기 때문에 B는 고려할 필요 없다. 위 코드는 그걸 반영하지 않았다.
'알고리즘 > 백준 & swacademy' 카테고리의 다른 글
| BOJ 2472 - 체인점 (다익스트라, 좌표압축, 세그트리, 수학) (0) | 2020.04.22 |
|---|---|
| BOJ 2336 - 굉장한 학생 (세그트리, 수학, 기하) (0) | 2020.04.22 |
| BOJ 18263 - Milk visits(오프라인 쿼리, lca) (0) | 2020.04.01 |
| BOJ 11813 - GALAKSIJA (disjoint set, tree, 오프라인쿼리) (0) | 2020.03.18 |
| BOJ 11510 - TOPOVI (constructive, greedy) (0) | 2020.03.11 |